慢性閉塞性肺疾患(慢性気管支炎、肺気腫)
本剤はCOPD(慢性気管支炎、肺気腫)に対し使用される、長時間作用性吸入気管支拡張剤です。
重要なお知らせ
このページは医療関係者の方向けに使いやすさを配慮した処方に関連する資料です。公式の電子添文が必要な場合には、ページ下部のボタンよりPDF形式でダウンロードしてください。
禁忌(次の患者には投与しないこと)
- 閉塞隅角緑内障の患者
[眼内圧を高め、症状を悪化させるおそれがある。] - 前立腺肥大等による排尿障害のある患者
[更に尿を出にくくすることがある。] - アトロピン及びその類縁物質あるいは本剤の成分に対して過敏症の既往歴のある患者
製品の主な特徴
| 製品名 | スピリーバ®2.5μgレスピマット60吸入 |
| 区分 | 処方箋医薬品 |
| 適応症 | 慢性閉塞性肺疾患(慢性気管支炎、肺気腫) |
| 有効成分 | チオトロピウム臭化物水和物 |
製品の基本情報
| 販売名 | スピリーバ2. 5μgレスピマット60吸入 |
| 成分・含量 | 1 噴霧中チオトロピウム 2.5μg(チオトロピウム臭化物水和物として3.124μg) |
| 添加物 | ベンザルコニウム塩化物、エデト酸ナトリウム水和物、精製水、塩酸 |
| 内容物 | カートリッジの内容物は無色澄明の液である。 |
スピリーバ2.5μgレスピマット60吸入
下記疾患の気道閉塞性障害に基づく諸症状の緩解
慢性閉塞性肺疾患(慢性気管支炎、肺気腫)、気管支喘息
(参考)
| スピリーバ1.25μg レスピマット |
スピリーバ2.5μg レスピマット |
|
| 気管支喘息の気道閉塞性障害に基づく諸症状の緩解 | ○ | ○ |
| 慢性閉塞性肺疾患(慢性気管支炎、肺気腫)の気道閉塞性障害に基づく諸症状の緩解 | - | ○ |
○:効能あり、-:効能なし
<効能・効果に関連する使用上の注意>
本剤は慢性閉塞性肺疾患(慢性気管支炎、肺気腫)及び気管支喘息の維持療法に用いること。本剤は急性症状の軽減を目的とした薬剤ではない。
慢性閉塞性肺疾患(慢性気管支炎、肺気腫)の気道閉塞性障害に基づく諸症状の緩解:
通常、成人にはスピリーバ2.5μgレスピマット1回2吸入(チオトロピウムとして5μg)を1日1回吸入投与する。
慎重投与(次の患者には慎重に投与すること)
- 心不全、心房細動、期外収縮の患者、又はそれらの既往歴のある患者
[心不全、心房細動、期外収縮が発現することがある。「重大な副作用」の項参照] - 腎機能が高度あるいは中等度低下している患者(クレアチニンクリアランス値が50mL/min以下の患者)
[本剤は腎排泄型であり、腎機能低下患者では血中濃度の上昇がみられる。「薬物動態」の項参照] - 前立腺肥大のある患者
[排尿障害が発現するおそれがある。]
重要な基本的注意
- 本剤は慢性閉塞性肺疾患及び気管支喘息の急性症状の治療を目的としていない。慢性閉塞性肺疾患及び気管支喘息に基づく症状を安定させるためには、本剤を継続して投与する必要がある。ただし、用法・用量どおり正しく使用しても効果が認められない場合には、本剤が適当ではないと考えられるので、漫然と投与を継続せず中止すること。
- 急性症状を緩和するためには、短時間作用性吸入β2刺激薬等の他の適切な薬剤を使用するよう患者に注意を与えること。
また、その薬剤の使用量が増加したり、効果が十分でなくなってきた場合には、喘息の管理が十分でないことが考えられるので、可及的速やかに医療機関を受診し治療を受けるよう患者に注意を与えると共に、そのような状態がみられた場合には、生命を脅かす可能性があるので、吸入ステロイド剤等の増量等の抗炎症療法の強化を行うこと。 - 気管支喘息治療の基本は、吸入ステロイド剤等の抗炎症剤であり、本剤は抗炎症剤ではないため、患者が本剤の使用により症状改善を感じた場合であっても、医師の指示なく吸入ステロイド剤等を減量又は中止し、本剤を単独で用いることのないよう、患者に注意を与えること。
- 本剤の吸入後、即時型過敏症(血管浮腫を含む)が発現することがあるので、異常が認められた場合には、投与を中止し、適切な処置を行うこと。
- 吸入薬の場合、薬剤の吸入により気管支痙攣が誘発される可能性があるので、異常が認められた場合には、投与を中止し、適切な処置を行うこと。
- 本剤の投与時に、本剤が眼に入らないように患者に注意を与えること。また、結膜の充血及び角膜浮腫に伴う赤色眼とともに眼痛、眼の不快感、霧視、視覚暈輪あるいは虹輪が発現した場合、急性閉塞隅角緑内障の徴候の可能性がある。これらの症状が発現した場合には、可及的速やかに医療機関を受診するように患者に注意を与えること。
- 腎機能が低下している高齢者に対して本剤を投与する場合には、治療上の有益性と危険性を勘案して慎重に投与し、有害事象の発現に注意すること。[「慎重投与」、「高齢者への投与」、「薬物動態」の項参照]
副作用
慢性閉塞性肺疾患(慢性気管支炎、肺気腫)
国内第Ⅱ相臨床試験が慢性閉塞性肺疾患患者157例を対象に実施され、このうち、147例に本剤5μgが投与された。147例中、副作用が報告された症例は4例(2.72%)で、口渇は1例(0.68%)であった。
海外で実施されたプラセボあるいは実薬を対照とした比較試験において849例の慢性閉塞性肺疾患患者に本剤5μgが投与された。主な副作用は、口渇であった。試験の投与期間は異なるが、全体の集計では、口渇の頻度は6.01%(51例)であった(承認時)。
重大な副作用
- 心不全、心房細動、期外収縮:心不全(頻度不明注))、心房細動(頻度不明注))、期外収縮(1%未満)が発現することがあるので、異常が認められた場合には投与を中止し、適切な処置を行うこと。[「慎重投与」の項参照]
- イレウス:イレウス(頻度不明注))が発現することがあるので、異常が認められた場合には投与を中止し、適切な処置を行うこと。
- 閉塞隅角緑内障(頻度不明):閉塞隅角緑内障を誘発することがあるので、視力低下、眼痛、頭痛、眼の充血等があらわれた場合には投与を中止し、適切な処置を行うこと。
- アナフィラキシー(頻度不明):アナフィラキシー(蕁麻疹、血管浮腫、呼吸困難等)が発現することがあるので、観察を十分に行い、異常が認められた場合には投与を中止し、適切な処置を行うこと。
その他の副作用
以下のような副作用が現れた場合には、症状に応じて適切な処置を行うこと。
| 副作用の頻度 | |||
| 1%以上 | 1%未満 | 頻度不明注) | |
| 眼 | 霧視、眼圧上昇 | ||
| 皮膚 | 発疹、瘙痒、蕁麻疹 | 脱毛 | |
| 中枢神経系 | 浮動性めまい | 不眠 | |
| 感覚器 | 味覚倒錯、嗅覚錯誤 | ||
| 消化器 | 口渇(1. 88%) | 便秘、消化不良、口内炎、舌炎 | |
| 代謝 | 高尿酸血症 | ||
| 循環器 | 動悸、上室性頻脈 | 頻脈 | |
| 血液 | 好酸球増多、白血球減少 | ||
| 呼吸器 | 咽喉刺激感、嗄声 | 咳嗽、呼吸困難、喘鳴、鼻出血、咽頭炎 | |
| 泌尿器 | 血尿、排尿障害、夜間頻尿、クレアチニン上昇、腎機能異常、尿閉 | ||
| 一般的全身障害 | 過敏症(血管浮腫を含む) | ||
注)チオトロピウム粉末吸入剤の投与による事象、又は本剤の海外のみでみられた事象を頻度不明とした。
高齢者への投与
一般に高齢者では腎クリアランス等の生理機能が低下しており、血中濃度が上昇するおそれがあるので、副作用の発現に注意すること。また、チオトロピウム粉末吸入剤の臨床試験で口渇は高齢者でより高い発現率が認められている。[「重要な基本的注意」、「薬物動態」の項参照]
妊婦、産婦、授乳婦等への投与
- 妊婦又は妊娠している可能性のある婦人には、治療上の有益性が危険性を上回ると判断される場合にのみ投与すること。[妊娠中の投与に関する安全性は確立していない。動物実験(ラット)で胎児に移行することが認められている。]
- 授乳中の婦人に投与することを避け、やむを得ず投与する場合には、授乳を中止させること。[動物実験(ラット)で乳汁中に移行することが認められている。]
小児等への投与
低出生体重児、新生児、乳児、幼児又は小児に対する安全性は確立していない。[使用経験がない]
過量投与
本剤を高用量投与した場合、抗コリン作動性の徴候及び症状が発現する可能性がある。健康成人(海外)に本剤10、20及び40μgを1日1回、14日間吸入投与したとき、用量依存的に口内、咽喉及び鼻粘膜の乾燥がみられ、40μg群で7日目以降に唾液分泌の顕著な減少がみられた。
本剤の経口投与後の生物学的利用率は低いので、経口摂取による急性中毒の発現の可能性は低いと考えられる。
適用上の注意
本剤を患者に交付する際には、正しい使用方法を必ず交付前に説明すること。
その他の注意
本剤と短時間作用型抗コリン性気管支拡張剤(イプラトロピウム臭化物水和物、オキシトロピウム臭化物等)との併用に関しては、臨床試験成績はなく、併用による有効性及び安全性は確立していないことから、併用は推奨できない。
吸収
健康成人(海外)に本剤を吸入投与したとき、投与量の33%が全身循環血中に吸収されることが尿中排泄データから示された。1,2)チオトロピウムは4級アンモニウム化合物のため経口投与後に消化管からはほとんど吸収されず、溶液で経口投与されたチオトロピウムのバイオアベイラビリティは2-3%であった。2)チオトロピウム臭化物は本剤を吸入投与後5分で最高血漿中濃度に到達した。1)
定常状態における、日本人慢性閉塞性肺疾患患者の本剤5μg吸入投与10分後の血漿中濃度は17.1pg/mLであり、トラフ濃度は2.00pg/mLであった。3)また、AUCτ,ssは94.3pg・h/mL、AUC0-4,ssは30.4pg・h/mL、投与後4時間までの尿中排泄量は0.342μg、尿中未変化体排泄率は6.84%であった。3)なお、AUC及び尿中排泄量のチオトロピウム粉末吸入剤18μg投与時に対する本剤5μg投与時の比の90%信頼区間は生物学的同等性の基準の80-125%の範囲内であった。3)
定常状態において、喘息患者(海外)に本剤5μgを吸入投与したとき、チオトロピウムは吸入投与5分後に最高血漿中濃度5.15pg/mLに到達した。4)
分布
血漿蛋白との結合率(in vitro試験)は72%で5)、分布容積は32L/kgであった(海外)。2)
<参考>14C-チオトロピウム10mg/kgを気管内投与した場合、肺、消化管のほかに肝臓、腎臓、膵臓に高い放射能濃度が認められたが、脳には移行しなかった(ラット)。6,7)また、乳汁中に移行した(ラット)。8)
代謝
健康成人(海外)にチオトロピウム14.4μgを静脈内投与注)したとき、尿中未変化体排泄率は投与量の74%であり、チオトロピウムの代謝はわずかであった。2)エステル化合物であるチオトロピウム臭化物は、非酵素的にエステル結合が加水分解され、N-メチルスコピン及びジチニールグリコール酸の生成がみられた。9)これらの代謝物はムスカリン受容体に親和性を示さなかった。10)また、ヒト肝ミクロソーム及びヒト肝細胞を用いた試験でチトクロームP-450によって酸化された代謝物及びそのグルタチオン抱合体がわずかにみられた。11,12)
この代謝はCYP2D6及び3A4の阻害薬により抑制されたことから、チオトロピウムの消失のごく一部にCYP2D6及び3A4が関与していると考えられた。11)チオトロピウムは治療濃度以上であっても、CYP1A1、1A2、2B6、2C9、2C19、2D6、2E1及び3Aのいずれの活性に対しても影響を与えなかった。13)
排泄
健康成人及び慢性閉塞性肺疾患患者(海外)に粉末吸入剤吸入投与後の終末相における尿中未変化体排泄速度から算出した消失半減期は5~6日であった。2,14)健康成人にチオトロピウムを静脈内投与したとき、全身クリアランスは880mL/minで2)、尿中未変化体排泄率は74%であった。2)本剤吸入投与後の尿中排泄率は20.1-29.4%であった。1)
喘息患者(海外)での累積係数から算出した半減期は34時間であった。4)また、本剤5μg投与後の定常状態時の投与24時間までの尿中未変化体排泄率は11.9%であった。4)
腎クリアランス値がクレアチニンクリアランス値より大きいことから2,14)、チオトロピウム臭化物の尿中への分泌が示唆された。慢性閉塞性肺疾患患者及び喘息患者(海外)に1日1回本剤を連続投与すると、7日目に定常状態に達し、蓄積はみられなかった。4,15)
高齢者における薬物動態
高齢者(海外)に粉末吸入剤を吸入投与したとき、チオトロピウムの腎クリアランスは低下した(腎クリアランスは58歳以下の慢性閉塞性肺疾患患者で326mL/min、69歳以上の慢性閉塞性肺疾患患者で163mL/min)が、これは加齢に伴う腎機能の低下によるものと考えられた。14)
若年健康成人(平均年齢32.1歳、海外)にチオトロピウム粉末吸入剤を吸入投与したときの尿中未変化体排泄率は14%であった2)が、慢性閉塞性肺疾患患者(平均年齢63.8歳、海外)にチオトロピウム粉末吸入剤を吸入投与したときの尿中未変化体排泄率は7%であり16)、若年健康成人に比較して低い値であった。
一方、高齢者(海外)にチオトロピウム粉末吸入剤を1日1回反復吸入投与後のAUC0-4hは非高齢者(海外)に比較して43%高い値を示した。非高齢者及び高齢者における薬物動態パラメータは以下のとおりであり、個体間変動を考慮すると、血漿中未変化体濃度に加齢による大きな差はないと考えられた。14)
チオトロピウム粉末吸入剤の反復吸入投与後の薬物動態パラメータ14)
| 例数 | 投与後5分の血漿中未変化体濃度 (pg/mL) |
AUC0-4h (pg・hr/mL) | 投与後4時間までの尿中未変化体排泄率 (% of dose) |
腎クリアランス (mL/min) |
|
非高齢者 (45~58歳) |
12 | 9. 63 (2. 50~47. 5) |
18. 2 (10. 0~61. 7) |
1. 97 (0. 45~5. 67) |
326 (117~724) |
高齢者 (69~80歳) |
13 | 15. 3 (5. 60~34. 8) |
26. 1 (10. 5~56. 0) |
1. 42 (0. 215~4. 51) |
163 (20. 5~477) |
幾何平均値
表中括弧内の数値は範囲を示す。
喘息患者(海外)では、本剤吸入投与後のチオトロピウムの曝露量に年齢による差は認められなかった。4)
腎機能低下患者における薬物動態
他の腎排泄型の薬剤と同様、腎機能低下患者(海外)においては、チオトロピウムの静脈内投与17)及び粉末吸入剤吸入投与16)後の血漿中未変化体濃度は上昇し、腎クリアランスは低下した。軽度の腎機能低下患者(クレアチニンクリアランスが50~80mL/minの患者、海外)において、チオトロピウム4.8μgを静脈内投与後のAUC0-4hは健康成人(海外)に比較して39%高い値を示した。17)また、高度あるいは中等度の腎機能低下患者(クレアチニンクリアランスが50mL/min未満の患者、海外)においては血漿中未変化体濃度は約2倍高い値を示した(AUC0-4hは82%高かった)。17)健康成人及び腎機能低下患者における薬物動態パラメータは以下のとおりであった。17)
チオトロピウム単回静脈内投与後の薬物動態パラメータ17)
| 例数 | クレアチニンクリアランス (mL/min) |
Cmax (pg/mL) |
AUC0-4h (pg・hr/mL) | 総尿中未変化体排泄率 (% of dose) |
腎クリアランス (mL/min) |
|
| 健康成人 | 6 | >80 | 147 (103~186) |
55. 5 (43. 2~69. 4) |
60. 1 (44. 8~76. 5) |
435 (348~497) |
| 腎機能低下患者 | 5 | 50~80 | 200 (129~287) |
77. 1 (60. 9~105) |
59. 3 (49. 7~74. 0) |
246 (150~341) |
| 7 | 30~50 | 223 (162~314) |
101 (69. 4~156) |
39. 9 (25. 9~65. 3) |
124 (98. 3~171) |
|
| 6 | <30 | 223 (176~269) |
108 (76. 3~145) |
37. 4 (34. 2~41. 7) |
85. 7 (68. 4~128) |
幾何平均値
表中括弧内の数値は範囲を示す。
腎機能が軽度低下している喘息患者(クレアチニンクリアランスが50~80mL/minの患者、海外)においては、腎機能が正常な喘息患者と比較して、チオトロピウムの曝露量の増加は認められなかった。4)
注)本剤の承認された用法・用量は、慢性閉塞性肺疾患では、通常、成人にはチオトロピウムとして5μg、気管支喘息では、通常、成人にはチオトロピウムとして2.5μg、症状・重症度に応じてチオトロピウムとして5μgを1日1回吸入投与である。
慢性閉塞性肺疾患(慢性気管支炎、肺気腫)
国内臨床試験成績
慢性閉塞性肺疾患患者147例を対象に本剤5μgとチオトロピウム粉末吸入剤18μgとの二重盲検クロスオーバー試験を国内で実施した。その結果、本剤5μgのチオトロピウム粉末吸入剤18μgに対する非劣性が検証された(p<0.001)。18)
本剤5μg(Tio R 5)とチオトロピウム粉末吸入剤(Tio HH)のトラフFEV1(変化量)に対する成績
| 薬剤 | 症例数 | 平均値(SE) | 95% CI | P値(非劣性) |
| Tio R 5 | 134 | 0.109(0.006) | 0.097-0.120 | |
| Tio HH 18 | 134 | 0.101(0.006) | 0.089-0.113 | |
| Tio R 5-Tio HH 18 | 134 | 0.008(0.009) | -0.009-0.024 | <0.001 |
注)第1期と第2期のFEV1のベースライン値と投与後の値があるものを有効性の主解析集団とした。
チオトロピウム粉末吸入剤の国内臨床試験成績
慢性閉塞性肺疾患患者27例を対象とした国内第Ⅱ相試験19)及び慢性閉塞性肺疾患患者362例(粉末吸入剤18μg投与177例)を対象とした国内第Ⅲ相二重盲検比較試験20)、長期投与試験21)の結果、粉末吸入剤の有用性が認められた。粉末吸入剤の1日1回18μg吸入投与における臨床試験成績の概要は次のとおりであった。
肺機能検査値に対する成績
粉末吸入剤は投与後速やかに肺機能検査値(FEV1)を上昇させ、その効果は投与後24時間持続した。19)また、オキシトロピウム臭化物に比し、肺機能検査値(トラフFEV1)を有意に上昇させた。20,21)
チオトロピウム粉末吸入剤(Tio HH)のトラフFEV1に対する成績
| 試験 | 薬剤 | 症例数 | FEV1 投与前値(L) | トラフFEV1 変化量(L) | P値 (分散分析) |
| 第Ⅲ相 二重盲検比較試験 (4週投与) |
Tio HH | 63 | 0.99±0.04 | 0.12±0.02 | P=0.0001 |
| オキシトロピウム | 67 | 0.97±0.05 | 0.02±0.02 | ||
| 第Ⅲ相 長期投与試験 (1年投与) |
Tio HH | 100 | 0.96±0.04 | 0.09±0.02 | P=0.0005 |
| オキシトロピウム | 46 | 0.94±0.05 | -0.02±0.03 |
平均値±SE
呼吸困難に対する成績
粉末吸入剤はオキシトロピウム臭化物に比し、呼吸困難(息切れの程度を点数化して評価)を有意に改善した。20,21)
急性増悪に対する成績
粉末吸入剤投与時の急性増悪の回数及び急性増悪の日数はオキシトロピウム臭化物に比し、有意に少なかった。21)また、オキシトロピウム臭化物に比し、急性増悪が発現するまでの期間を有意に遅延させた。21)
生活の質(QOL)に関する成績
St. George’s Respiratory QuestionnaireによるQOLに関する調査において、粉末吸入剤はオキシトロピウム臭化物に比し、QOLを有意に改善した。21)
海外臨床試験成績
慢性閉塞性肺疾患患者2,697例(本剤1日1回5μg吸入投与849例)を対象とした1年投与による二重盲検比較試験2試験22,23)及び12週投与による二重盲検比較試験2試験24,25)により、肺機能検査値を検討した。また、1年投与の2試験では呼吸困難、急性増悪及び生活の質(QOL)についても検討した。22,23,26)
肺機能検査値に対する成績
本剤5μgはプラセボ及びイプラトロピウム臭化物水和物に比し、肺機能検査値(トラフFEV1)を有意に改善した。26,27)
本剤5μg(Tio R 5)のトラフFEV1に対する成績
| 試験 | 薬剤 | 症例数 | FEV1 投与前値(L) | トラフFEV1 変化量(L) | P値 (分散分析) |
| プラセボ対照 二重盲検比較試験 (1年投与) |
Tio R 5 | 650 | 1.068±0.016 | 0.087±0.009 | P=0.0001 |
| プラセボ | 603 | 1.067±0.016 | -0.040±0.009 | ||
| イプラトロピウム対照二重盲検比較試験 (12週投与) |
プラセボ | 171 | 1.188±0.032 | -0.014±0.017 | P=0.0001 |
| Tio R 5 | 175 | 1.068±0.030 | 0.104±0.016 | ||
| P=0.0060 | |||||
| イプラトロピウム | 170 | 1.101±0.033 | 0.040±0.017 |
平均値±SE
呼吸困難に対する成績(1年投与試験)22,23,26)
本剤5μgはプラセボに比し、呼吸困難(Transition Dyspnoea Indexを用いて評価)を有意に改善した。
急性増悪に対する成績(1年投与試験)22,23,26)
本剤5μgはプラセボに比し、急性増悪の回数を有意に減少し、最初の急性増悪が発現するまでの期間も有意に遅延させた。
生活の質(QOL)に関する成績(1年投与試験)22,23,26)
St.George’s Respiratory QuestionnaireによるQOLに関する調査において、本剤5μgはプラセボに比し、QOLを有意に改善した。
気管支収縮抑制作用
摘出標本(モルモット35)、ヒト35))において、メサコリンあるいはフィールド電気刺激による収縮反応に対して抗コリン作用によると考えられる用量依存的な気管支収縮抑制作用を示す。また、生体位(モルモット36)、ウサギ37)、イヌ37))においても、アセチルコリンにより誘発した気管支収縮に対して抗コリン作用によると考えられる用量依存的な収縮抑制作用を示す。
作用持続時間
摘出標本(モルモット35,38))におけるフィールド電気刺激による収縮に対する抑制作用及び生体位(モルモット36,38))におけるアセチルコリンによる気管収縮に対する抑制作用はイプラトロピウム臭化物水和物及びオキシトロピウム臭化物よりも持続的である。また、摘出標本(ヒト35))及び生体位(イヌ37))においても、気管支収縮抑制作用は持続的である。
作用機序
チオトロピウムは長時間持続型の選択的ムスカリン受容体拮抗薬であり、ムスカリン受容体のサブタイプであるM1~M5受容体にほぼ同程度の親和性を示す。10)気道においては、気道平滑筋のM3受容体に対するアセチルコリンの結合を阻害して気管支収縮抑制作用を発現する。非臨床試験(摘出標本及び生体位)において示された気管支収縮抑制作用は用量依存的であり、この作用は24時間以上持続する。37,38)
この長時間持続する作用は本剤の受容体を用いた結合実験において得られた結果(M3受容体からの解離がきわめて遅いこと)に基づくと考えられ、この解離はイプラトロピウム臭化物水和物よりもさらに遅い。39)摘出標本を用いた検討により、気管支収縮に対する抑制作用(M3受容体拮抗作用)はアセチルコリン遊離増強作用(M2受容体拮抗作用)に比べ持続することが明らかとなっている。このことから、M3受容体からの解離はM2受容体からの解離に比べて遅いと考えられ35)、レセプターの解離速度の面からはM3受容体に対する選択性が高いと考えられる。
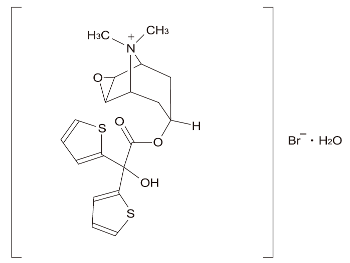
一般名:チオトロピウム臭化物水和物(JAN)
Tiotropium Bromide Hydrate(JAN)
Tiotropium Bromide(INN)
化学名: (1α,2β,4β,5α,7β)-7-[(Hydroxydi-2-thienylacetyl)oxy]-9,9-dimethyl-3-oxa-9-azoniatricyclo[3.3.1.02,4]nonane bromide monohydrate
化学構造式:
分子式:C19H22BrNO4S2・H2O
分子量:490.43
性状:白色~帯黄白色の粉末である。
本品は水にやや溶けにくく、エタノール(99.5)に溶けにくい。
- 患者には専用の吸入用器具レスピマットⓇ及び使用説明書を渡し、使用方法を指導すること。
- 本剤は冷凍しないこと。
- 地方自治体により定められた廃棄処理方法にしたがうこと。
医薬品リスク管理計画を策定の上、適切に実施すること。
スピリーバⓇ1.25μgレスピマットⓇ60吸入
スピリーバⓇ2.5μgレスピマットⓇ60吸入:吸入用器具レスピマットⓇ1個及びカートリッジ1本(1mL:60噴霧[30回投与分])
- Feifel U et al:社内資料 健康成人での反復投与薬物動態試験
- Feifel U et al:社内資料 健康成人でのバイオアベイラビリティ試験
- Fukuchi Y et al:社内資料 国内クロスオーバー試験の薬物動態
- Sharma A:社内資料 薬物動態試験併合解析
- Sauer A:社内資料 薬物動態試験(分布:血漿蛋白結合)
- Richter I:社内資料 非臨床薬物動態試験(分布:全身オートラジオグラフィ)
- Oiwa Y et al:社内資料 非臨床薬物動態試験(分布:組織内分布)
- Oiwa Y et al:社内資料 非臨床薬物動態試験(排泄:乳汁中移行)
- Ludwig E et al:社内資料 非臨床薬物動態試験(代謝:血漿中加水分解)
- Speck GA et al:社内資料 薬効薬理試験(ヒト ムスカリン受容体への親和性)
- Ludwig-Schwellinger et al:社内資料 薬物動態試験(代謝:肝ミクロソーム)
- Ludwig-Schwellinger et al:社内資料 薬物動態試験(代謝:肝細胞)
- Ebner T et al:社内資料 薬物動態試験(代謝:チトクロームP450阻害)
- Hamilton A et al:社内資料 高齢者における薬物動態試験
- Puyal C et al:社内資料 用量反応試験
- Serby CW et al:社内資料 海外1年間投与二重盲検比較試験(205.117試験)
- Tuerck D et al:J Clin Pharmacol 44:163,2004
- Ichinose M et al:Respir Med 104:228,2010
- 平田一人ほか:臨床医薬 20(9),25,2004
- 福地義之助ほか:臨床医薬 20(9),41,2004
- 福地義之助ほか:臨床医薬 20(9),61,2004
- Towse LJ et al:社内資料 海外1年間投与二重盲検比較試験(205.254試験)
- Towse LJ et al:社内資料 海外1年間投与二重盲検比較試験(205.255試験)
- Van Andel A E et al:社内資料 海外12週間投与二重盲検比較試験(205.251試験)
- Van Andel A E et al:社内資料 海外12週間投与二重盲検比較試験(205.252試験)
- Towse LJ et al:社内資料 海外1年間投与二重盲検比較試験の併合データ
- Voshaar T et al:Respir Med 102(1):32,2008
- Seibold W et al:社内資料 48週間投与国際共同二重盲検比較試験(205.416試験)
- Seibold W et al:社内資料 48週間投与国際共同二重盲検比較試験(205.417試験)
- Holländerova Z et al:社内資料 24週間投与国際共同二重盲検比較試験(205.418試験)
- Holländerova Z et al:社内資料 24週間投与国際共同二重盲検比較試験(205.419試験)
- Seibold W et al:社内資料 48週間投与国際共同二重盲検比較試験(205.416/205.417試験)
- 國光聡子ほか:社内資料 国内長期投与試験(205.464試験)
- Blahova Z et al:社内資料 海外12週間投与二重盲検比較試験(205.442試験)
- Takahashi T et al: Am J Respir Crit Care Med 150(6),1640,1994
- Reichl R et al:社内資料 薬効薬理試験(抗コリン作用(モルモット))
- Reichl R et al:社内資料 薬効薬理試験(抗コリン作用(ウサギ、イヌ)など)
- 大村剛史ほか: 医学と薬学 51(5):711,2004
- Speck G A et al:社内資料 薬効薬理試験(ヒト ムスカリン受容体サブタイプからの解離)